滤光片光的干涉效应公式解析
干涉滤光片利用光的干涉现象实现对特定波段的选择性透过或截止。与吸收型滤光片不同,干涉滤光片的光谱特性由膜层的光学厚度和折射率分布决定。因此,干涉效应的数学描述不仅是设计的理论基础,也是工艺控制的依据。下面我们将从单层薄膜干涉出发,逐步深入到多层膜系的矩阵模型,解析干涉滤光片涉及的各类公式。

一、单层薄膜干涉基础公式
当光照射到单层薄膜时,在薄膜上下表面产生的两束反射光(或透射光)会发生干涉。干涉的强弱取决于两束光之间的光程差。
光程差公式:Δ=2ndcosθ
其中:
Δ —— 光程差;
n —— 薄膜折射率;
d —— 薄膜物理厚度;
θ—— 光在薄膜内部的折射角。
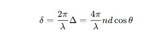
相位差公式:

当相位差δ 为π的奇数倍时,反射光干涉相长(反射增强);当 δ 为π的偶数倍时,反射光干涉相消(透射增强)。
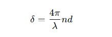
在垂直入射(θ= 0)情况下,公式简化为:

该公式揭示了膜层光学厚度 nd与波长λ 之间的直接关系,是理解干涉滤光片光谱响应的基础。
二、中心波长公式
对于由多个光学厚度为 λ/4 的膜层交替堆叠构成的窄带滤光片,其中心波长 λc由膜层的光学厚度决定:λc= 2 . (nd)
该公式源自法布里-珀罗(Fabry-Pérot)干涉仪的基本原理。在典型的F-P型滤光片中,间隔层的光学厚度通常为中心波长的整数倍(最常见为 λ/2),即nd = λ/2),代入整理即得上述公式。
工艺意义:中心波长公式揭示了膜厚控制与光谱精度的直接关联。在镀膜过程中,光学厚度的微小偏差将直接导致中心波长的线性漂移。这解释了为何膜厚监控是干涉滤光片制造中最关键的环节——光控法正是基于对这一公式的实时反馈来实现精密控制。
三、多层膜系特征矩阵模型
实际干涉滤光片通常包含数十层甚至上百层薄膜,简单的双光束干涉公式已不足以精确描述其光学行为。目前通用的方法是薄膜光学特征矩阵(也称传递矩阵)模型。
单层膜的特征矩阵:
其中:
δj=2π/λ*Nj*dj*cosθj —— 第 j层膜的相位厚度;
Nj= nj - i kj —— 第j层膜的复折射率(kj为消光系数,表征吸收);
ηj —— 第j层膜的有效光学导纳(取决于入射光的偏振态)。
整个膜系的组合特征矩阵:
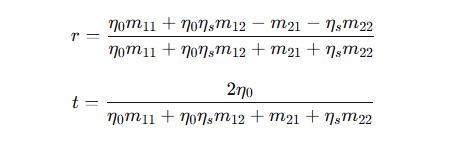
反射系数与透射系数:
设入射介质导纳为 η0,基底导纳为ηs,则:
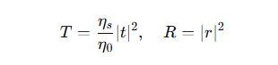
透过率与反射率:
该矩阵模型是所有现代光学薄膜设计软件(如 TFCalc、Essential Macleod、FilmStar)的底层数学基础,能够精确模拟任意复杂膜系的光谱特性。
四、法布里-珀罗窄带滤光片透射率公式
对于常见的法布里-珀罗型窄带滤光片,其透射率可近似用艾里函数描述:
其中:
Tmax—— 峰值透过率;
F=4R/(1-R)²—— 精细度系数(Finesse coefficient),R为反射膜的反射率;
Φ—— 光在间隔层内往返一次的相位变化。
公式解读:
反射率 R越高,F值越大,滤光片的带宽越窄;
相位 Φ由间隔层的光学厚度决定,直接影响中心波长的位置。
该公式直观地表明:要实现极窄带宽(如 0.1 nm),必须使反射膜的反射率 R 无限接近 100%,同时将间隔层的厚度控制精度提升至原子级别。
五、公式与工艺的关联总结
上述公式不仅构成滤光片设计的理论框架,也直接映射到加工工艺的关键控制点:
| 公式 | 工艺关联 | 决定性参数 |
| δ=( 4π/λ)nd | 干涉条件的实现 | 膜厚d、折射率 n |
| λc = 2nd | 中心波长控制 | 光学厚度监控精度 |
| 特征矩阵模型 | 光谱性能仿真与误差分析 | 层数、材料常数、厚度分布 |
| T = Tmax/(1+Fsin²(Φ/2)) ) | 带宽与峰值透过率控制 | 反射率 R、间隔层相位Φ |
从误差分析角度看,特征矩阵中对 δ =2π/λ*Nd的偏微分,可用于定量评估厚度偏差对光谱漂移的敏感度,为工艺容差设计提供理论依据。
滤光片光的干涉效应公式体系,从单层薄膜的光程差关系,到多层膜系的矩阵模型,再到窄带滤光片的透射率解析,构成了一个完整且自洽的理论框架。这一框架不仅支撑着干涉滤光片的膜系设计,更直接指导着镀膜工艺中膜厚监控、折射率控制、均匀性管理等关键环节的实践。